一、系统使用初始设置修改
在财政部网站(www.mof.gov.cn)上进入“小金库”治理专栏,下载“2010年社会团体和国有及国有控股企业小金库治理工作报表管理软件”,点击“setup”安装软件并进入软件。

选择点击“国有及国有控股企业‘小金库’专项治理报表管理系统”,进入数据录入界面。关闭数据录入界面,进入系统主界面,并根据需要修改以下系统设置:
(一)“高级”项下选择“显示所有扩展功能”,以查看和方便使用系统所有功能;
(二)“高级”项下的“系统选项”中取消“启动系统自动进入录入界面”的默认设置,以便于了解和熟悉软件操作流程;
(三)“高级”项下的“系统选项”中取消“报表打印时,零不打印”的默认设置;
(四)再次进入数据录入界面,点击“自查自纠报告表”,取消“工具”栏中“零值不显示”的默认设置。
二、国有企业或社会团体系统操作流程
(一)单户国有企业
主要负责填报“自查自纠情况报告表”单户报表,操作流程如图所示:
![]()
1.1进入软件
双击桌面快捷方式后,点击对应按钮,进入到国有企业及国有控股企业系统主界面。

1.2封面信息数据录入
在软件主界面,点击“国有企业录入”功能,进入到数据录入界面,或者从软件中直接进入数据录入界面,如图所示:

在数据录入界面中,点击“新增”按钮后,录入企业封面信息,报表类型选择“单户表”,如图所示:

1.3自查自纠情况报告表数据录入
点击进入“自查自纠报告表”,依次录入“国有及国有控股企业‘小金库’自查自纠情况报告表”和“国有及国有控股企业‘小金库’自查自纠情况报告表(续)”。
1.4数据审核
企业录入企业的封面代码和自查自纠报告表的数据后,需要对数据的正确性进行审核,不符合公式勾稽关系的数据,需要企业进行相应的修改(系统内各指标如何填写,可参照编表说明)。点击“审核”按钮,可以对本表内的勾稽关系进行审核;点击“全审”按钮,可以对所有报表的表内和表间的勾稽关系进行审核。如图所示:

此外,在数据填报的过程中,根据相关治理办的要求,将需要一并上报的书面材料电子版粘贴到“附报文档”。操作方法为直接将相关的附件,拖拽到“附报文档”页签当中,点击“保存”按钮,完成相关附报文档的上报。

1.5报表打印
单户企业不涉及到“数据汇总”的功能,录入完毕后点击“打印”按钮,进入到报表打印功能。

选择需要打印报表的单位后,点击“确定”按钮,完成报表的打印,报表打印默认设置为A3纸。
1.6数据传出
在软件主界面,点击“传出”按钮,进入到数据传出界面,如图所示:

选择传出全部报表数据,并勾选“传出时清理已删除的数据”后,点击下一步设定文件传出的位置和文件名后,就可以传出数据了。

数据传出后,连同签字盖章后的报表、自查自纠报告,一并报送给上级企业或单位,就完成了单户企业数据填报流程。
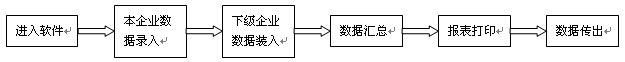
(二)汇总企业用户
汇总企业用户除了需要填报本企业“小金库”数据外,还应对所属下级企业的数据进行汇总,主要流程如下:

2.1汇总企业本企业数据录入
在数据录入界面中,点击“新增”按钮后,录入企业封面信息(详见单户企业),报表类型选择“汇总表”,点击保存后同时生成汇总报表封面和汇总企业本企业单户表。

选择汇总企业本企业单户表,将报表封面中“报表类型”选为单户表后,按照单户企业操作流程录入数据。
2.2下级企业数据装入
在系统主界面,点击“数据装入”按钮,装入下级企业数据,如图所示:

2.3汇总企业数据汇总
在系统主界面,点击“国有企业汇总”按钮,进入节点汇总的功能。如图所示:

在节点汇总界面,选择汇总单位,然后点击“汇总”按钮,完成所属单位的数据汇总工作。汇总完成后,可以点击“检查”的按钮对汇总数据进行检查,如果汇总数据与下级单位数据的累加不一致,系统会自动给予提示。

报表打印和报表传出同单户企业用户操作方法。
(三)汇总单位用户
由各部门所属事业单位、社会团体管理的企业,为理清企业层次和隶属关系,可由其直接管理的非企业部门、事业单位、社会团体汇总后报送相关部门,操作流程如下:

在系统主界面,在“汇总”项下选择“完全汇总”,新建汇总封面,分别在“企业名称”和“本企业代码”中输入事业单位或社会团体名称和其组织机构代码,完成汇总即可。

(四)各级专项治理办
自查自纠阶段各级专项治理办操作流程为:

4.1进入 软件和相关企业数据装入见汇总企业用户。
4.2自查自纠统计表计算
在系统主界面点击“自查自纠计算表”后选择运算,自查自纠情况统计表就会自动生成,如图所示:

4.3完全汇总
在系统主界面,在“汇总”项下选择“完全汇总”,封面信息填写完毕后(企业代码和企业名称必填,其他可选填),点击确定按钮,结束完全汇总功能,并在数据录入界面树形结构中生成一个汇总单位。

各级专项治理办按照编码规则利用编码器编制组织机构代码,填列在本企业代码中。

4.4报表打印、数据传输见其他用户方法。
重点检查阶段各级专项治理办操作流程为:

|
进入软件
|
4.5分离重点检查企业数据库
在系统主界面,点击“高级”选项下“数据库合并分离”工具,将拟进行重点检查的企业进行数据库分离,如图所示:

选择要重点检查的企业后,点击分离按钮,将数据分离到新的数据库中,之后双击主界面左下角的“数据库”切换到分离数据库,将重点检查的企业传出,如图所示:

4.6重点检查数据录入和汇总
重点检查组用户进入系统后,需要点击“专项治理领导机构录入”按钮进入到数据录入界面,录入“重点检查报告表”,如图所示:

重点检查组逐户录入重点检查报告表后,在“汇总”选项下选择“选择汇总”,新建“选择汇总封面”后,可以获得本检查组重点检查情况汇总数据。重点检查组汇总不能选择“完全汇总”,否则将会导致重点检查企业树形结构的改变。

4.7重点检查数据装入
重点检查工作结束后,各级治理办应将重点检查组分户录入数据装入自查自纠数据库。
4.8重点检查统计表计算
在系统主界面点击“重点检查统计计算表”后选择运算,重点检查情况统计表就会自动生成,如图所示:

4.9数据汇总
在系统主界面点击专项治理领导机构汇总后,汇总报表自动生成。

4.10报表打印、数据报送
操作方法同其他用户,报表打印仅需打印汇总报表即可。
4.11企业及社团汇总
当专项治理领导机构将治理的企业及社团的“小金库”数据全部采集完成后,可以根据“小金库”的类型对数据进行汇总。即企业“小金库”自查自纠数据与社团“小金库”自查自纠数据的汇总,企业“小金库”重点检查数据与社团“小金库”重点检查数据的汇总等。如图所示:

进入系统主界面后,点击“封面代码提取”按钮,将企业“小金库”和社团“小金库”任务中,单位代码相同的企业封面信息提取到汇总任务当中。如图:

然后点击数据汇总的按钮,将企业“小金库”和社团“小金库”任务中对应的数据进行汇总,形成全口径的“小金库”数据,汇总完成后可以在数据录入界面对汇总结果进行查看。

